Logaritmi

1

Logaritmi

offline
  • Pridružio: 27 Mar 2015
  • Poruke: 9

Pozdrav,

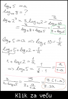
Ako je log sa bazom 10 od 5 = a, odrediti log sa bazom 40 od 8. Je l' ima neko ideju kako se radi ovaj zadatak?

Hvala unapred na odgovoru.
Smile
Smile


Ako mozete da otvorite sliku, ima i slika zadatka.



Registruj se da bi učestvovao u diskusiji. Registrovanim korisnicima se NE prikazuju reklame unutar poruka.
offline
  • Pridružio: 19 Jan 2012
  • Poruke: 791



Ako ti nesto nije jasno, pitaj. Very Happy



offline
  • Pridružio: 27 Mar 2015
  • Poruke: 9

Hvala puno brate!!

Imam samo pitanje, tj da utvrdim: ono sto je iza log(sto je kod nas slucaj sa 3, na pocetku) to moze da bude jednako kolicniku te trojke koja ide u brojilac i log-a koji ide u imenilac ali mu se menja baza i ono sto je pod logaritmom tj samo menjaju mesta.

Je l tako?

I kada log sa leve strane menja bazu sa onim sto je pod log tj ono sto je u bazi ide pod log i obrnuto, onda ono sa desme strane ima reciprocnu vrednost. Je l tako?

Hvala unapred na odgovoru. Very Happy

offline
  • Pridružio: 19 Jan 2012
  • Poruke: 791

1) [Link mogu videti samo ulogovani korisnici]
Dakle, sesto pravilo po redu je primenjeno na izracunavanje. Odgovor na tvoje pitanje je "da".

2) Ovo drugo te nisam bas najbolje razumeo. Napisi u paint-u koji deo te tacno zanima.

offline
  • Pridružio: 27 Mar 2015
  • Poruke: 9



Znaci baza menja mesto sa onim sto je pod logaritmom i onda mora sa leve strane da se uradi reciprocna vrednost. Je l tako?

offline
  • Pridružio: 19 Jan 2012
  • Poruke: 791

Recimo da je tako. Mada bih ja (da ne bi doslo do zabune) radio reciprocnu vrednost logaritma uz zamenu baze i toga sto je pod logaritmom, a ovu desnu stranu ne bih cackao. Znaci 1/log5(10)=a (gde je "5" baza, a "10" broj pod logaritmom).

offline
  • Pridružio: 27 Mar 2015
  • Poruke: 9

Znam ali zar ti nisi dva puta dok si resavao zadatak, radio reciprocnu vrednost desne strane kada si menjao logaritmu bazu sa onim sto je pod log?

offline
  • Pridružio: 19 Jan 2012
  • Poruke: 791

Pa ti radis toliko puta koliko ti treba, samo da je uskladjeno sa pravilima. Ne znam sta te buni.

offline
  • Pridružio: 27 Mar 2015
  • Poruke: 9

Nista, nema veze.

Ako mozes i kada mozes da pogledas jos neki zadatak, sto nisam mogao da uradim? Spremam se za prijemni za Fakultet. :-)

offline
  • Pridružio: 19 Jan 2012
  • Poruke: 791

Ako budem imao vremena, (trenutno ga nemam, jer sam u guzvi sa svojim obavezama) onda cu ti pomoci. Do tada je moguce da se javi neko drugi da ti pomogne.

Ko je trenutno na forumu
 

Ukupno su 1419 korisnika na forumu :: 105 registrovanih, 14 sakrivenih i 1300 gosta   ::   [ Administrator ] [ Supermoderator ] [ Moderator ] :: Detaljnije

Najviše korisnika na forumu ikad bilo je 15694 - dana 01 Feb 2026 12:23

Korisnici koji su trenutno na forumu:
Korisnici trenutno na forumu: -Max-, 33 bren, 357magnum, _Rade, aleph_one, Alka, alternator, avijacija, awathorn, baza, bigvlada, Bo96, boj.an, Bojan198527, bojanM84, bojcistv, Boris90, BWG, Car89, CCCP, Colt D, darkkran, Demi87, Der Rote Baron, Desmond, Dimitrise93, Dioniss, djboj, dok80, Duce, dulleo, Eagle_1, ElGenius, famoso, Flanker-G, Foxdie, gagidjuric, Georgius, Holy Saber, jarovitt, Jeremiah, jon istvan, Jozo74, kib, king111, Krusarac, kuntalo, MaRtInsrbija1993, mat, mile.ilic75, milenko crazy north, Mis uz pusku, mm1811, Mrav Obrad, mrm, mux, naunwzbn, nelezele, nemkea71, Ns1975, Orc, orfanel, Parker, Pekman, peradetlić, Permaldar, Petrusci, Pilipenda, prasinar, Prle90, procesor, R_038, RiV, ruma, samsung, Sanda, sap, savaskytec, Sharpshooter, Sky diver 29, Skywhaler, Smajser, sslay, StankoVrankovic, strelac07, Szigetwar, tmanda323, tomigun, trutcina, TTN, Tumansky, vathra, vazduh, Velibor Radoja, vidra boy, Viktor Vuk, Vića, VonDrobac, Wrangler, Zastava, zastavnik, zeljko71, zexon, zokizemun, Žrnov