Stepenovanje

2

Stepenovanje

offline
  • Pridružio: 13 Feb 2012
  • Poruke: 364

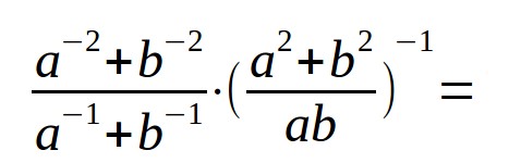
Naisao sam na problem sa jos 2 zadatka nismo stigli da ih uradimo na casu pa bih molio ako moze neko da mi pojasni prvi je po meni dosta konfuzan sto se njega tice ne znam da resim ovo u prvoj zagradi
, a evo i drugog sto se njega tice nije mi jasno ovo u drugoj zagradi da li sve ide kao reciprocna vrednost u zagradi?


Nadam se da se dobro vidi Very Happy prosli put ste mi puno pomogli pozz.



Registruj se da bi učestvovao u diskusiji. Registrovanim korisnicima se NE prikazuju reklame unutar poruka.
offline
  • Milan
  • Pridružio: 17 Dec 2007
  • Poruke: 14828
  • Gde živiš: Niš

Mutno je prilično. Nemam mnogo vremena, pa da eleminišemo mogućnost greške, reci mi jesu li to ovi zadaci:

1.
2.



offline
  • Pridružio: 13 Feb 2012
  • Poruke: 364

Napisano: 16 Sep 2012 19:16

Ovaj drugi izraz je tako medjutim na ovaj prvi si napravio 2 greske napisacu ja u wordu pa cu da postavim sliku ali objasni mi za ovaj drugi posto je on uredu.

Dopuna: 16 Sep 2012 20:28

E evo ti i za ovaj prvi izraz pa ti isparavi gde si pogresio na slici imas 2 greske morao sam da nacrtam u paint nzm gde drugo

offline
  • Milan
  • Pridružio: 17 Dec 2007
  • Poruke: 14828
  • Gde živiš: Niš

Napisano: 16 Sep 2012 20:37



- Prvi korak je da se oslobodiš minusa iz izložilaca. Da bi tu uradio tražiš recipročnu vrednost svakog broja čiji je izložilac negativan broj.

- U drugom koraku, potrebno je da novodobijene brojeve svedeš pod jedan razlomak.

- Kada sve svedeš pod jedan razlomak, treba da dobiješ dvojni razlomak kao u trećem koraku.

- U sledećem koraku se oslobodiš dvojnog razlomka i manje više ti se sve pokrati.

Dopuna: 16 Sep 2012 20:40

Marko Markovic 2 ::E evo ti i za ovaj prvi izraz pa ti isparavi gde si pogresio na slici imas 2 greske morao sam da nacrtam u paint nzm gde drugo
Phahaha, gde li sam ja našao tu minus. LOL

Sad ću i ovaj da ti odradim. Wink

Dopuna: 16 Sep 2012 21:01



Početak je kao kod prethodnog, oslobađaš se negativnih izložilaca i onda samo množiš sasvim normalno. Very Happy Mada nema ni šta da množiš, opet se skoro sve pokrati... Mr. Green

offline
  • Pridružio: 13 Feb 2012
  • Poruke: 364

Da te pitam nesto jel moze da se skrati npr ovako
i ako bi mogao ovaj poslednji zadatak da zavrsis do kraja jer mi je on jasan bas dotle gde si uradio ali mi nije jasno malo kratenje sta sa cim isto i na prethodni zadatak mi kazi sta si sa cim skratio?Very Happy Hvala ti unapred.

offline
  • Milan
  • Pridružio: 17 Dec 2007
  • Poruke: 14828
  • Gde živiš: Niš

Pazi, 3⁴ zapišeš kao 3³∙3 i onda se 3³ pokrate i ostaje ti 1/3 pod uslovom da je u imeniocu drugog razlomka 1.

E sad, zadatak ne bih mogao da završavam, bar ne sada. A i nisam ga namerno ostavio nezavršenog. Ostavio sam da ti sam probaš da odradiš. Very Happy Vrlo je lako.

Ajde ovako, probaj ti da ga uradiš. Ako neće, probaj ispočetka. Pa onda još jednom! Tako se uči matematika. Very Happy Ako ni onda neće, uslikaj dokle si stao, pa ću ja da ti objasnim postupak.

Jedan savet, kada kratiš, grupišeš (množiš) babe sa babama, a žabe sa žabama. To je cela filozofija. Wink

offline
  • Pridružio: 13 Feb 2012
  • Poruke: 364

Ja sam mislio da uradis zadatak pa onda da ti kazem sta mi nije jasno na tom primeru jer meni nije jasno sta sa cim da kratim jer ja kad u radim zadatak nekako cini mi se da sam negde pogresio(da ga nisam zavrsio da ima tu jos neceg) ali ne znam sta.Usput kazi mi preko koji program pises zadatke kad mi ih odradis da ne crtam u paint?

offline
  • Milan
  • Pridružio: 17 Dec 2007
  • Poruke: 14828
  • Gde živiš: Niš

Marko Markovic 2 ::Ja sam mislio da uradis zadatakNeće moći tako!

Rekao sam već, uradi zadatak, uslikaj, okači ovde, objasniću ti gde grešiš ako grešiš, objasniću ti kako da završiš, ako ima još nešto da se odradi u zadatku. Ali da se vidi, nemoj da kačiš slike neke da ja tumačim hijeroglife tu.

Usput, one crne radim u programu LibreOffice Math. Besplatan je. Ove plave pišem ručno. Razz

offline
  • Pridružio: 13 Feb 2012
  • Poruke: 364

E hvala ti sto se tice zadatka uradili smo ga danas na casu pitao sam profesora i pokazao mi je sta se sa cim skrati usput da ti kazem nisam ja imao nikakve namere da mi ti radis zadatke za domaci ili sta vec,vec sam tako pomislio da ce mi biti jasnije hvala ti puno za trud opet ti kazem ako mi nesto nije jasno napisacu u ovoj temi pozz najbolji ste...

Ko je trenutno na forumu
 

Ukupno su 1457 korisnika na forumu :: 128 registrovanih, 9 sakrivenih i 1320 gosta   ::   [ Administrator ] [ Supermoderator ] [ Moderator ] :: Detaljnije

Najviše korisnika na forumu ikad bilo je 19602 - dana 30 Mar 2026 00:11

Korisnici koji su trenutno na forumu:
Korisnici trenutno na forumu: 10x10.9, aca018, airliners, aleksandar1888, aleksandarbl, ArmFPGA, asdfjklc, Babilon3, bakovaca, blankspace, bobo85, BORUTUS, bounty hunters, BOXRR, braca57, Bushek, carinko, ceman, Clouseau, comi991, darcaud, dd11ll, dejan1972, delboy, Demi87, dexteroza, Dioniss, djboj, DJUNTA, djuradj, Doc, docadoca, draganl, dule10savic, Dusko_Dugousko, Džekson, Eagle_1, Ercomero, EXIT78, gasha, Georgius, Gitzherai, Gogi do, Goran 0000, gregorxix, Holy Saber, Jecmendo, Johny Sack, Jonbonjovi, JOntra, Jovan1983, Kajzer Soze, kirucar, Krin, Krusarac, kunktator, kybonacci, ladro, Lep1na, Lobo, M74AB3, Mackomen, Mae, marre, mat, mercedesamg, MIKULENCE, Miler88, milikonst, milutin134, miodrag, Mis uz pusku, Mićko, mkukoleca, Moldovan, moldway, morava_01, MountAndBlade, nebkv, Neutral-M, nick79, Niki2024, Nmr, nnovakis, Ognjen D., orfanel, Pekman, Posmatrac77OKB, prasinar, Primus17, Pururin, PuškeiPlavuše, Radio operater, Radoslava, RAleksandar, rambod, raster12, RiV, rovac, samo_citam, Semprini, shaja1, shiro, Sinisa76, Smiljkovich, Solunac na steroidima, sova72, SpaDej, stalja, Stevan Visoki, tachinni, theBorer, totopoto, TRZH92, TTN, tubular, tuf, vaci, vathra, veljko82, vensla, Vlado82, Vojkan Petrovic, vojnik švejk, WELJKO, zeka013, zokizemun, Zorge