2 pitanja ... Bezuov stav i stepenovanje

2 pitanja ... Bezuov stav i stepenovanje

offline
  • kapL0 
  • Novi MyCity građanin
  • Pridružio: 21 Feb 2012
  • Poruke: 28

E ovako .... Imam 2 pitanja.
Prvo : Recimo kako da stepenujem broj na razlomak . recimo 8 na 4/3

Kako podeliti ovaj polinom pomocu Bezuovog stava ?
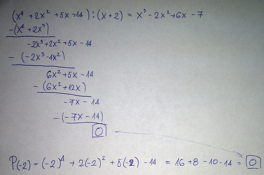
(x na 4 + 2x na 2 + 5x - 14 ) : ( x + 2 )
I jel se ovaj polinom moze podeliti na neki drugi nacin ?



Registruj se da bi učestvovao u diskusiji. Registrovanim korisnicima se NE prikazuju reklame unutar poruka.
offline
  • Milan
  • Pridružio: 17 Dec 2007
  • Poruke: 14828
  • Gde živiš: Niš

Što se prvog pitanja tiče, rešenje je ³√8⁴ (treći koren iz osam na četvrtom). Dakle, brojioc ide uz broj kao eksponent (uz osam u ovom slučaju), dok imenioc predstavlja o kom korenu je reč (treći koren u tvom slučaju).

Jel znaš šta kaže Bezuov stav? Very Happy



offline
  • kapL0 
  • Novi MyCity građanin
  • Pridružio: 21 Feb 2012
  • Poruke: 28

Ma zaboravio sam sve Sad ....Davno sam radio bezuov stav i ne mogu da se setim a potreban mi je zbog nekih primera .

offline
  • Milan
  • Pridružio: 17 Dec 2007
  • Poruke: 14828
  • Gde živiš: Niš

Bezuov stav kaže: Ostatak pri deljenju polinoma P(x) sa (x - a) jednak je vrednosti polinoma) P(a).
Dakle, u tvom primeru je a = -2. Ostatak pri deljenju tvog polinoma sa (x + 2) izračunavaš tako što svako x u polinomu zameniš sa -2. Dakle samo ostatak.
Pored toga, moraš da uzmeš u obzir to da je stepen ostatka pri deljenju polinoma uvek manji od stepena delioca. Kako je kod tebe delio prvog stepena, ostatak će biti nultog stepena, tj. biće konstanta (neki broj).

Inače, polinom možeš podeliti sasvim normalno i bez poznavanja Bezuovog stava. Polinom deliš isto kao da deliš bilo koja dva broja, s tim da pri deljenju gledaš samo vodeće članove (članovi sa najvišim stepenom). Evo kako izgleda postupak deljenja:



Dakle, kao što možeš da vidiš, -2 je jedna od nula polinoma P, pa je zbog toga ostatak pri deljenju polinoma P sa (x + 2) jednak nuli.

Ko je trenutno na forumu
 

Ukupno su 1197 korisnika na forumu :: 103 registrovanih, 7 sakrivenih i 1087 gosta   ::   [ Administrator ] [ Supermoderator ] [ Moderator ] :: Detaljnije

Najviše korisnika na forumu ikad bilo je 15694 - dana 01 Feb 2026 12:23

Korisnici koji su trenutno na forumu:
Korisnici trenutno na forumu: aleph_one, Andrija357, as2025, Aska, AudioTehnica, avijacija, Ba4e, bavar357, bb929, Black Luster Soldier, black_raven, bobo85, Bombona, branko7, Brankojle, Brot, bufanje, ccoogg123, Chainsaw, comi991, darkojbn, delboy, desmeki, Dioniss, djonsule, Djota1, dolinalima, dusan.l, Dusko_Dugousko, g_g, goranperović66, Hans Gajger, istokzapad, Joja, K a s p e r, K2, Kalem, kaskadija, kojotuzamku, Kole1975, komsija1, kovinacc, Lance Guest, Levi, ljubo70, ludiagresivan, MarijaC84, Markan90, mercedesamg, Mi lao shu, micke83, mikrimaus, milan124, Miletić Zoran, Milometer, MiloradKomadic, Milos ZA, Milos82, mist-mist, mm1811, mnn2, moldway, mrzimregistraciju, mux, nevjerna beba, nikola11, Nikoletina Bursac, Njubara, oblivion, Orlova, ozzy, Paklenica, Pekman, pera bager, Permaldar, petrovicrs, Pilence, Pilipenda, precan, probisic, Pururin, pvjantar, rebro1974, Remain, Resnica, samsung, Sarmat, Semberija, Sirius, Sirtaki Suvlaki, sony771, Srpska zauvjek, Stanlio, superwhy, Tila Painen, troki1971, Velibor Radoja, Veljko™, voja64, Warrior, zgoljo, zlaya011, |_MeD_|